Poliplus Software logo poliplus Software
WinCE product

products

download


  • Binomial

    Binomial

  • Graphing

    Graphing

  • Tables

    Tables

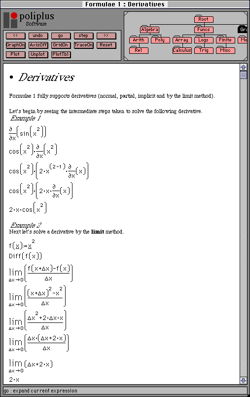
  • Derivatives

    Derivatives



Poliplus Software
160 Columbia St. W. #248
Waterloo, Ontario
Canada, N2L-3L3
Phone: (519) 742-9387
Fax: CALL US
info@poliplus.com
http://www.poliplus.com